HOME
BUSINESS
▼
アパレル
ケミカル
インテリア
▶︎
マニー
グランシュマン
デザイナーズギルド・テーブルウェア
オリビア
オンラインストア
世界の手仕事 ファブリカ
ABOUT
RECRUIT
CONTACT
トップページ
信浩 取扱化学品 検索結果
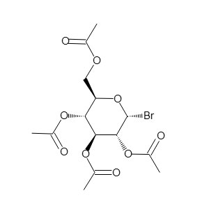
2,3,4,6-Tetra-O-acetyl-α-D-glucopyranosyl Bromide
◆ 2,3,4,6-Tetra-O-acetyl-α-D-glucopyranosyl Bromide
製品名
2,3,4,6-Tetra-O-acetyl-α-D-glucopyranosyl Bromide
CAS番号
572-09-8
純度
99.0%
生産地
中国
在庫
×
※在庫「×」は受注生産になります。
数量、規格、価格、納期等は個別にお問合せください。