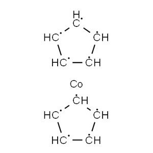
◆ Bis(cyclopentadienyl)cobalt(II)

構造式
製品名 Bis(cyclopentadienyl)cobalt(II)
CAS番号 1277-43-6
純度 -
生産地 中国
在庫

※在庫「〇」は中国メーカー在庫品になります。
※在庫品納期は通常3-4週間(空輸)、4-5週間(海上輸送)です。
※数量、価格、規格等の情報は個別にお問合せください。

ページトップ